General Instructions
- This is an open book exam. This exam is not proctored.
- But you must take the exam alone. No interaction with other students is allowed.
- You can start this exam anytime between 11:00am and 11:15am. You will have 50 minutes once you begin. We cannot accept late scripts. Note, if you start at 11:15am the latest submission time is 12:05pm.
- If you have technical problems please contact us immediately. We cannot help you after the end of the exam. We are available via Zoom using the usual lecture meeting. You can also call into this meeting if you have no internet.
- Each question is answered sequentially. The answer will lock after you complete it. Make sure you are finished before moving on to the next question.
- To help you plan your time, the exam structure is as follows:
- Questions 1-8: multiple choice questions (6 marks each; 48 marks in total)
- 2 short answer questions on the labor market.
- Question 9: 10 marks.
- Question 10: 16 marks.
- 2 short answer questions on the Romer model
- Question 11: 10 marks.
- Question 12: 16 marks.
- When you have finished, make sure you hit “Submit”. Also, be careful you don’t hit Submit accidentally in the middle of the exam!
Quiz Summary
0 of 12 Questions completed
Questions:
Information
You have already completed the quiz before. Hence you can not start it again.
Quiz is loading…
You must sign in or sign up to start the quiz.
You must first complete the following:
Results
Results
0 of 12 Questions answered correctly
Your time:
Time has elapsed
You have reached 0 of 0 point(s), (0)
Earned Point(s): 0 of 0, (0)
0 Essay(s) Pending (Possible Point(s): 0)
Categories
- Not categorized 0%
- 1
- 2
- 3
- 4
- 5
- 6
- 7
- 8
- 9
- 10
- 11
- 12
- Current
- Review
- Answered
- Correct
- Incorrect
-
Question 1 of 12
1. Question
Consider the Phillips Curve Δπt = 1/4  Yt
Suppose the economy is booming and output is 2% above potential for two years. If inflation started at a (long-run) rate of 2%, what will the inflation rate be after two years?
CorrectIncorrect -
Question 2 of 12
2. Question
In 1972 US real GDP was $5,383 bn. If potential output was $5,151bn, what was short-run output in 1972?
CorrectIncorrect -
Question 3 of 12
3. Question
If the growth rate of money supply is 4 percent per year, real GDP growth is 2 percent per year and velocity is constant, the quantity theory predicts that the inflation rate is ________ percent
CorrectIncorrect -
Question 4 of 12
4. Question
In the US, the fraction of men who work has declined from around 80% in 1960 to 65% in recent years. Suppose this is caused by fewer male workers being able and willing to work. If this is the only change happening in the economy, what does the labor supply/labor demand model predict will happen to wages and the employment-to-population ratio?
CorrectIncorrect -
Question 5 of 12
5. Question
Consider the following data for two countries:
 Separation rate
Job finding rate
Labor force
Country A
0.5%
12%
160
Country B
1.1%
30%
50
In the bathtub model, the steady state level of unemployment is given by
What is the natural rate of unemployment in Country A and is this larger or smaller than in Country B?
CorrectIncorrect -
Question 6 of 12
6. Question
The solution for the growth rate of ideas in the Romer model is given by .
Between 1948 and 1973, real GDP per capita grew by 2.5% per year in the US. Between 1973 and 1995, real GDP per capita only grew at 1.8% per year in the US. If the number of researchers has been constant over time, the Romer model can explain this change in GDP per capita growth:
CorrectIncorrect -
Question 7 of 12
7. Question
An important step towards ending a hyperinflation is to:
CorrectIncorrect -
Question 8 of 12
8. Question
Suppose that, due to a global pandemic, there is a sharp decline in consumer spending. According to the IS curve model, if real interest rates are unchanged, what will happen to the economy?
CorrectIncorrect -
Question 9 of 12
9. Question
Section B: Labor Markets Question 1
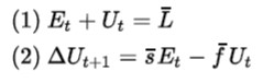
Consider the bathtub model, which is given by two equations:
Where s and f are exogenous parameters. Ut is the number of unemployed workers, Et is the number of employed workers. Assume , L the total labor force, is exogenous.
Briefly explain equation (2) above and discuss how this model can be used to examine the natural rate of unemployment. Make sure you briefly explain what the natural rate of unemployment means. You do not need to derive anything for this question.
-
This response will be awarded full points automatically, but it can be reviewed and adjusted after submission.
Grading can be reviewed and adjusted.Grading can be reviewed and adjusted.Hint
The natural rate of unemployment is the rate that would prevail if the economy were in neither a boom nor a
bust. There are two components of natural unemployment:
a. Frictional Unemployment- Occurs when workers are changing jobs
b. Structural Unemployment- Results from the labor market institutions failing to match up workers and firms
in the market. Labor market institutionsA bathtub model tells us how employment and unemployment evolve over time. This model features a
steady state when ????Ut+1= 0. The model says that the only way to alter the natural rate of unemployment is
by changing the job-finding rate or by changing the job separation rate. -
-
Question 10 of 12
10. Question
Section B: Labor Markets Question 2
Again consider the bathtub model. As before this is given by two equations:
Where s and f are exogenous parameters. Ut is the number of unemployed workers, Et is the number of employed workers. Assume , L the total labor force, is exogenous.
Historically, young French workers (under age 25) have had relatively high unemployment rates: 21 percent in 2005. In 2006, the French government proposed to allow employers to fire young employees without cause.
In the context of this bathtub model, explain how and why this might affect unemployment rates in France in the long-run.
You should be able to answer this question by discussing the model, its solution and its predictions in words.
-
This response will be awarded full points automatically, but it can be reviewed and adjusted after submission.
Grading can be reviewed and adjusted.Grading can be reviewed and adjusted.Hint
The French government tried to minimize unemployment by making it easier for firms to fire so that firms are
willing to hire more workers in the future due to leniency in hiring and firing. This means that in the long run,
the job-finding rate would increase because firms will be willing to hire more workers in the first place.
There could also be adverse effects in the long run. Because of the lack of job security, people might get
demotivated and fall out of the labor force which means the employment-population ratio will fall as well. This
might reduce the number of people unemployed permanently and not show up in the numbers. -
-
Question 11 of 12
11. Question
The Romer model can be described by 4 equations:
Briefly explain why there is long-run growth in GDP per capita in this model. Why is the distinction between objects and ideas important?
You should be able to answer this question by discussing the model and its predictions in words. You do not need to derive anything for this question.-
This response will be awarded full points automatically, but it can be reviewed and adjusted after submission.
Grading can be reviewed and adjusted.Grading can be reviewed and adjusted.Hint
The Romer model overcomes the limitation of the Solow Model. It tells us how to overcome diminishing
returns through innovation and ideas. The Romer Model made a fundamental distinction by dividing the
world’s economic goods into objects and ideas. If objects are the raw material of the universe, then ideas are
the instructions for using these atoms in different ways. New ideas are new ways of arranging raw materials
in ways that are economically useful.
Economic growth occurs when we discover better and better ways to use finite resources. This means,
sustained economic growth occurs because we discover new ideas. Ideas are non-rivalrous and are not
subject to diminishing returns so there are increasing returns to ideas and objects together. To produce more
objects, we just have to increase labor and materials, we do not need to reinvent ideas, -
-
Question 12 of 12
12. Question
This question is also about the Romer model. Again, this can be described by 4 equations:
Consider the following scenario. Suppose a catastrophic computer virus destroys a large number of blueprints for various technological inventions. The result is that the stock of existing ideas falls dramatically
(assume that there is no change in the size of the workforce, the research share or the ability of researchers to produce additional new ideas).Carefully explain what the Romer model predicts will happen to the level and growth rate of GDP per capita over time and why.
For your answer, make use of one of the following ratio scale figures. Only one figure is correct. Before explaining your answer, state which figure you are referring to. You should be able to answer this question by explaining the relevant diagram and the solution to the model in words.
-
This response will be awarded full points automatically, but it can be reviewed and adjusted after submission.
Grading can be reviewed and adjusted.Grading can be reviewed and adjusted.Hint
If the stock of ideas is affected, then by the idea production function, we know that Delta A plus one will be
impacted but the growth of ideas is constant over time. Therefore chart C is correct.
In this chart, we see that although the growth is constant in the beginning, there is a spilt due to destruction
of blueprints. The growth shifts rights to show that change. There is a decrease in ideas affecting z but the
real output is not affected by it. This will continue to be the trend until more ideas are generated and
compensate for the lost ones and the curve will go back to its original state. -

